Problemes de Deadlocks
Un sistema conté 2 processos (A i B). Hi ha tres recursos R1. Cada procés necessita un màxim de 2 recursos R1. Es possible un interbloqueig en aquesta situació? Raoneu la resposta.
Imagina tres processos A,B,C i dos recursos R1 (1) i R2 (2).
- A soilicita 1 instancia de R1 i el sistema operatiu li condedeix.
- B sol·licita 1 instancia de R2 i el sistema operatiu li concedeix.
- C sol·licita 1 instancia de R2 i el sistema operatiu li concedeix.
- B sol·licita 1 instancia de R1 i el sistema operatiu li bloqueja.
- A sol·licita 1 instancia de R2 i el sistema operatiu li bloqueja.
- Aquesta situació és un interbloqueig? Raoneu la resposta.
- Es compleixen les quatre condicions de Coffman per a un interbloqueig?
Es possible un interbloqueig amb processos que no estan involucrats en el cicle de processos que esperen recursos? Raoneu la resposta i doneu un exemple.
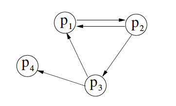
En un sistema format per 4 processos \((p_1, p_2, p_3, p_4)\) i 1 únic recurs de cada tipus \((r_0, r_1, r_2, r_3, \ldots)\), Raona si es possible un interbloqueig partint del següent graf d’espera:

Graf d’espera Considereu un sistema amb 4 processos i 5 tipus de recursos amb múltiples instàncies. L’estat inicial del sistema és el següent:
\[ \begin{gathered} \text{Assignat} = \begin{bmatrix} 0 & 1 & 1 & 1 & 2 \\\\ 0 & 1 & 0 & 1 & 0 \\\\ 0 & 0 & 0 & 0 & 1 \\\\ 2 & 1 & 0 & 0 & 0 \end{bmatrix} \text{ Necessitat} = \begin{bmatrix} 1 & 1 & 0 & 2 & 1 \\\\ 0 & 1 & 0 & 2 & 1 \\\\ 0 & 2 & 0 & 3 & 1 \\\\ 0 & 2 & 1 & 1 & 0 \end{bmatrix} \\\\ \\\\ \text{ Disponible} = \begin{bmatrix} 0 & 1 & 0 & 2 & 1 \end{bmatrix} \text{ Total} = \begin{bmatrix} 2 & 4 & 1 & 4 & 4 \end{bmatrix} \end{gathered} \]
Raoneu si el sistema es troba en un interbloqueix. En cas afirmatiu, indiqueu quins processos estan involucrats en el interbloqueix.
Assumirem un sistema amb 5 processos \(( p_0, p_1, p_2, p_3, p_4)\) i 3 tipus de recursos \((r_{0},r_{1},r_{2})\). Donat l’estat inicial del sistema, volem saber si el sistema concediria la següent sol·licitud \(( Sol·licitud_{1}(1,0,2))\)? Raoneu la resposta assumint que el sistema utilitza l’algorisme del banquer i l’algorisme de seguretat.
\[ \begin{gathered} \text{Assignat} = \begin{bmatrix} 0 & 1 & 0 \\\\ 2 & 0 & 0 \\\\ 3 & 0 & 2 \\\\ 2 & 1 & 1 \\\\ 0 & 0 & 2 \end{bmatrix} \text{ Necessitat} = \begin{bmatrix} 7 & 4 & 3 \\\\ 1 & 2 & 2 \\\\ 6 & 0 & 0 \\\\ 0 & 1 & 1 \\\\ 4 & 3 & 1 \end{bmatrix} \text{ Disponible} = \begin{bmatrix} 3 & 3 & 2 \end{bmatrix} \end{gathered} \]
Imagineu un sistema amb 1 únic tipus de recurs (A) que disposa de múltiples unitats. En aquest sistema s’executen P processos on cada proces pot sol·licitar K unitats del recurs A. Quin nombre mínim d’unitats del recurs A és necessari per evitar l’interbloqueig?